忍者ブログ

成田国際吹奏楽部を影ながら応援するブログ

2026 . 03
|
  • 1
  • 2
  • 3
  • 4
  • 5
  • 6
  • 7
  • 8
  • 9
  • 10
  • 11
  • 12
  • 13
  • 14
  • 15
  • 16
  • 17
  • 18
  • 19
  • 20
  • 21
  • 22
  • 23
  • 24
  • 25
  • 26
  • 27
  • 28
  • 29
  • 30
  • 31
  • カレンダー
    02 2026/03 04
    S M T W T F S
    1 2 3 4 5 6 7
    8 9 10 11 12 13 14
    15 16 17 18 19 20 21
    22 23 24 25 26 27 28
    29 30 31
    フリーエリア
    プロフィール
    HN:
    かくれんぼ
    性別:
    非公開
    自己紹介:
    成国吹奏楽部を影ながら応援している者です。あまり更新は出来ませんが、がんばる部員たちの為に少しでも力になれたなら!
    カウンター
    最新CM
    [06/21 成国応援団]
    [06/19 たこぺったん]
    [05/06 成国応援団]
    [05/05 Henry@NKWO]
    [05/01 成国応援団]
    バーコード
    ブログ内検索

    ×

    [PR]上記の広告は3ヶ月以上新規記事投稿のないブログに表示されています。新しい記事を書く事で広告が消えます。

    千葉県吹奏楽連盟創立55周年記念演奏会

    12日(土)、千葉県文化会館にて「千葉県吹奏楽連盟創立55周年記念演奏会」があります。
    成田国際高校は、印旛地区合同バンドとして出演します。
    演奏時間は、13:19~からです。

    前売チケットの販売は終了しているようです。
    詳しくは、千葉県吹奏楽連盟にお問い合わせください。

    ちなみに、私達応援団は事前にチケットを購入済。
    頑張って会場へ行きますよ^^!

    PR

    本日は、昨日に引き続き第24回千葉県吹奏楽個人コンクール印旛地区大会の金管打楽器部門が、成田国際高校で行われました。

    部員達も運営スタッフに頑張ってましたね。
    今週末は、12日・13日と忙しいけどインフルに負けずにファイト

    審査結果です。
    成国部員からも県代表に選ばれました
    金管打楽器(pdf)

    今日と明日に分かれて成田国際高校では、第24回千葉県吹奏楽個人コンクール印旛地区大会が行われております。
    本日は、木管部門、明日は金管打楽器部門です。

    成国吹奏楽部員は、会場となっている事もあり運営のお手伝いです。
    そして、応援団達は近くのレストランで女子会をやり、今後の活動などおしゃべりしてきました。

    コンクールでは、成国部員からも出場し見事、県大会へ。
    その他の結果については、下記の結果表を参照してください。

    木管部門(pdf)

    先日のアジアカップ決勝戦、皆さんはご覧になりましたか!
    劇的な勝利で感動しましたね。
    その後のインタビューでは、「チーム一丸となって」という意味をこめたコメントが全ての選手や監督まで、カメラの前で話してましたね。
    是非、成国吹奏楽部一同も日本代表のように頂点を目指し、「チーム一丸となり」駆け上がってくださいね。

    ◇演奏会のお知らせ
    2月12日(土)は千葉県文化会館にて「千葉県吹奏楽連盟50周年記念」の催しがあり、印旛地区合同バンドとして参加します。

    2月13日(日)は成田国際文化会館で富里中学校さんとのジョイントコンサートがあります。

    2月26日(土)はディズニーシーでの演奏会です。

    ◇コンテスト
    2月5日(土)・6日(日)とソロコンがあります。
    場所は、成田国際高校です。
    毎年、会場を間違えて成田国際文化会館へ行ってしまう方がいるそうです。

    とにかく、インフルエンザ等にかからないように、充分な睡眠をとって体力を温存しましょうね(^u^)


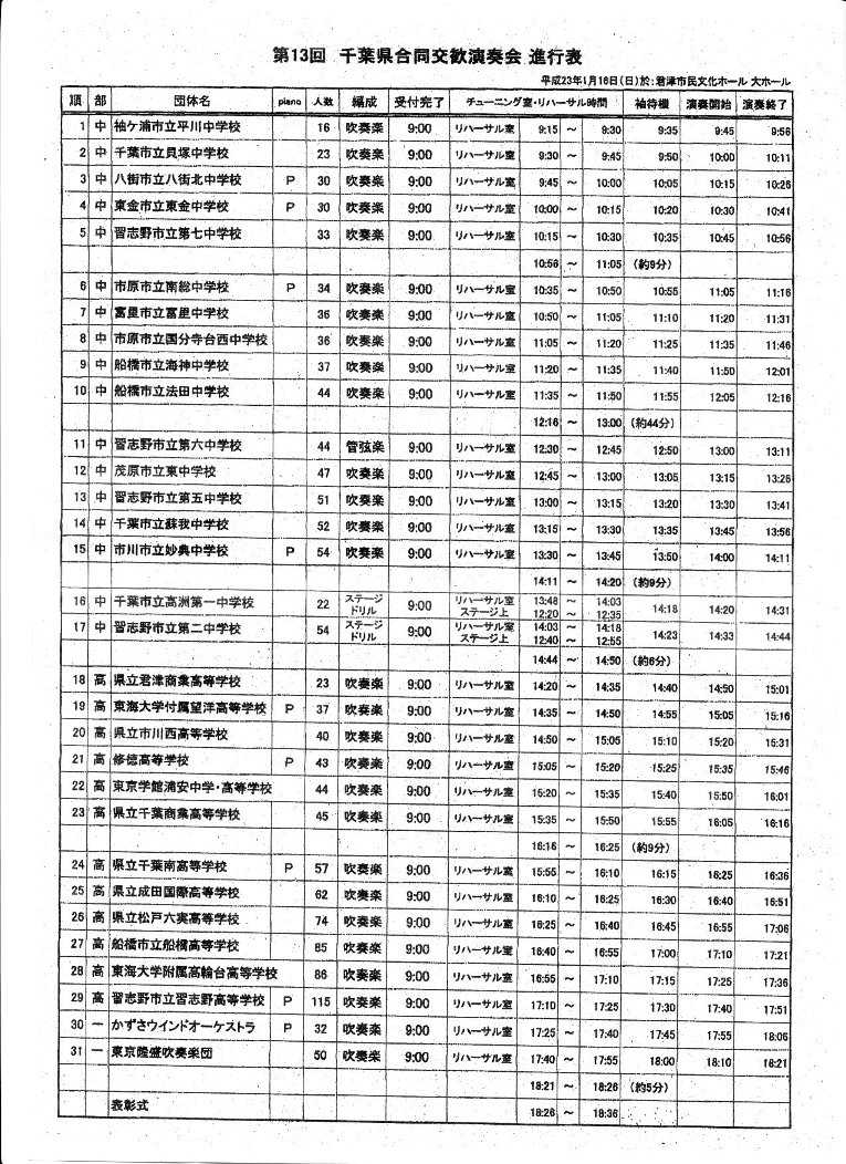
    印旛地区音楽会に続いて、1月16日に君津市で行われる演奏会について

    「第13回千葉県合同交歓演奏会」が君津市民文化ホールで行われます。
    この演奏会に成国吹奏楽部も参加します。
    当日は、県内外から31団体(中学17・高校12・一般2)が出場します。

    高校の部は14:50~から始まります。

    18番目 君津商業高等学校吹奏楽部
    19番目 東海大学付属望洋高等学校吹奏楽部
    20番目 市川西高等学校吹奏楽部

    21番目 修徳高等学校吹奏楽部
    22番目 東京学館浦安中学・高等学校吹奏楽部
    23番目 千葉商業高等学校吹奏楽部

    24番目 千葉南高等学校吹奏楽部
    25番目 成田国際高等学校吹奏楽部16:40~です。
    26番目 松戸六実高等学校吹奏楽部

    27番目 市立船橋高等学校吹奏楽部
    28番目 東海大学付属高輪台高等学校吹奏楽部
    29番目 市立習志野高等学校吹奏楽部

    30番目 かずさウィンドオーケストラ
    31番目 東京隆盛吹奏楽団


    Script:Ninja Blog 
    Design by:タイムカプセル
    忍者ブログ [PR]