忍者ブログ

成田国際吹奏楽部を影ながら応援するブログ

2026 . 02
|
  • 1
  • 2
  • 3
  • 4
  • 5
  • 6
  • 7
  • 8
  • 9
  • 10
  • 11
  • 12
  • 13
  • 14
  • 15
  • 16
  • 17
  • 18
  • 19
  • 20
  • 21
  • 22
  • 23
  • 24
  • 25
  • 26
  • 27
  • 28
  • カレンダー
    01 2026/02 03
    S M T W T F S
    1 2 3 4 5 6 7
    8 9 10 11 12 13 14
    15 16 17 18 19 20 21
    22 23 24 25 26 27 28
    フリーエリア
    プロフィール
    HN:
    かくれんぼ
    性別:
    非公開
    自己紹介:
    成国吹奏楽部を影ながら応援している者です。あまり更新は出来ませんが、がんばる部員たちの為に少しでも力になれたなら!
    カウンター
    最新CM
    [06/21 成国応援団]
    [06/19 たこぺったん]
    [05/06 成国応援団]
    [05/05 Henry@NKWO]
    [05/01 成国応援団]
    バーコード
    ブログ内検索

    ×

    [PR]上記の広告は3ヶ月以上新規記事投稿のないブログに表示されています。新しい記事を書く事で広告が消えます。

    寒い一日でした。。。






    明日は、    雪だ





    余裕をもって行動しないと。。。

    そして、13日は富里中学校とのジョイントコンサート。

    体調管理に注意しないとね。

    私達もね^^

    PR

    千葉県吹奏楽連盟創立55周年記念演奏会

    12日(土)、千葉県文化会館にて「千葉県吹奏楽連盟創立55周年記念演奏会」があります。
    成田国際高校は、印旛地区合同バンドとして出演します。
    演奏時間は、13:19~からです。

    前売チケットの販売は終了しているようです。
    詳しくは、千葉県吹奏楽連盟にお問い合わせください。

    ちなみに、私達応援団は事前にチケットを購入済。
    頑張って会場へ行きますよ^^!

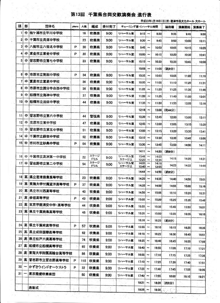
    印旛地区音楽会に続いて、1月16日に君津市で行われる演奏会について

    「第13回千葉県合同交歓演奏会」が君津市民文化ホールで行われます。
    この演奏会に成国吹奏楽部も参加します。
    当日は、県内外から31団体(中学17・高校12・一般2)が出場します。

    高校の部は14:50~から始まります。

    18番目 君津商業高等学校吹奏楽部
    19番目 東海大学付属望洋高等学校吹奏楽部
    20番目 市川西高等学校吹奏楽部

    21番目 修徳高等学校吹奏楽部
    22番目 東京学館浦安中学・高等学校吹奏楽部
    23番目 千葉商業高等学校吹奏楽部

    24番目 千葉南高等学校吹奏楽部
    25番目 成田国際高等学校吹奏楽部16:40~です。
    26番目 松戸六実高等学校吹奏楽部

    27番目 市立船橋高等学校吹奏楽部
    28番目 東海大学付属高輪台高等学校吹奏楽部
    29番目 市立習志野高等学校吹奏楽部

    30番目 かずさウィンドオーケストラ
    31番目 東京隆盛吹奏楽団


    寒いですね。。。

    朝晩は特に寒いですね。。。

    部員達は、朝早くから夕方遅くまで頑張ってますね(*^^)v

    そして、明日は佐倉市民音楽ホールで「印旛地区高等学校音楽会」があります。

    その為、朝の学校集合時間は7時ですよ。

    そして、成田国際高校吹奏楽部の出場順は25番目です。

    時間は、15:23~15:35です。
    お時間のある方や、お近くの方は是非、会場へGO

    その他、多くの学校が参加します。

    また、吹奏楽だけではなく琴やミュージカルなども演奏されますよ。

    他の学校のタイムスケジュールは以下の画像で。

    明日から学校ですね。

    ところで、ディズニーリゾートでの演奏会について、

    2月26日(土)午前10:50分で 演奏場所は、ディズニーシー・プラザに決定しましたね。

    当日は、寒いと思いますが私達応援団も駆け付けちゃいますよ。

    Script:Ninja Blog 
    Design by:タイムカプセル
    忍者ブログ [PR]